灌于百川 溉沃千顷 网联天下

新闻详情

第2章 粮农组织 Penman-Monteith 公式

发表时间:2022-06-09 08:30作者:irripro

FAO Penman-Monteith equation 粮农组织 Penman-Monteith 公式


本章向用户介绍标准的一种从气象数据计算参考蒸散量 (ETo) 的方法的必要性。推荐使用粮农组织 Penman-Monteith 方法作为确定参考蒸散量的唯一 ETo 方法。本章描述了该方法及推导过程所需的气象资料以及参考面的相应定义。


NEED FOR A STANDARD ETo   METHOD 需要标准 ETo 方法


在过去的 50 年里,世界各地的众多科学家和专家开发了大量或多或少的经验方法,以估计不同气候变量的蒸散量。相关公式通常经过严格的局部校准,并被证明具有有限的全局有效性。在一组新条件下测试方法的准确性是费力、耗时且成本高昂的,但在项目规划或灌溉计划调度设计中经常需要在短时间内获得蒸发量数据。为满足这一需求,制定并在粮农组织第 24 号关于灌溉和排水文件“作物需水量”中发布了指南。为了适应具有不同可用性数据的用户,提出了四种计算参考作物蒸散量 (ETo) 的方法:Blaney-Criddle、辐射、改进的 Penman 和蒸发皿蒸发量方法。修改后的 Penman 方法被认为提供了与草为参考作物相关的最佳结果,且可能出现的误差最小。预计蒸发皿方法将给出可接受的估计值,具体取决于蒸发皿的位置。对于可用气候数据包括测量气温和日照、云量或辐射,但未测量风速和空气湿度的地区,建议采用辐射法。最后,该出版物建议在可用气候数据中仅有涵盖气温数据的地区使用 Blaney-Criddle 方法。


这些计算 ETo 的气候方法均针对十天或每月计算进行校准,而不是针对每日或每小时计算进行校准。 Blaney-Criddle 方法被推荐用于一个月或更长时间。对于泛化型方法,建议应在十天或更长时间内进行计算。但用户并不总是符合这些条件,并且通常在每日时间步长上进行计算。


研究的进展和对作物用水量的更准确评估揭示了这些方法的弱点。许多研究人员分析了四种方法在不同位置的性能。尽管此类分析的结果可能会受到站点或测量条件或天气数据收集中的偏差的影响,但很明显,所提出的方法在世界各地的表现方式并不相同。通常发现计算值与观测值的偏差超过了粮农组织规定的范围。修改后的 Penman 经常被发现高估了 ETo,即使在低蒸发条件下高达 20%。粮农组织推荐的其他方程显示出对草的参考作物蒸散标准的不同的依从性。


为了评估这些和其他估算程序在不同气候条件下的性能,在美国土木工程师协会 (ASCE) 灌溉用水需求委员会的主持下进行了一项重大研究。 ASCE 研究分析了 20 种不同方法的性能,使用详细程序来评估方法的有效性,并与来自 11 个不同气候条件的地点的一组仔细筛选的蒸渗仪数据进行比较。该研究证明非常具有启发性,并显示了这些方法在不同气候条件下的广泛不同的性能。在欧洲共同体委托进行的一项平行研究中,一个欧洲研究机构联盟使用来自欧洲不同蒸散仪研究的数据评估了各种蒸散方法的性能。


研究证实了粮农组织第 24 号灌溉和排水文件中引入的改良 Penman 的过高估值,以及不同方法的可变性能取决于它们对当地条件的适应。比较研究可总结如下:


 Penman 方法可能需要对风函数进行局部校准才能获得满意的结果。

 辐射方法在空气动力学项相对较小的潮湿气候中显示出良好的结果,但在干旱条件下的表现不稳定并且往往会低估蒸发量。

温度方法仍然是经验性的,需要局部校准才能获得令人满意的结果。一个可能的例外是 1985 年的 Hargreaves 方法,该方法显示了具有全球有效性的合理 ETo 结果。

蒸发皿蒸散量方法清楚地反映了利用开放水域蒸发量预测作物蒸散量的缺点。这些方法易受蒸发皿蒸散运行时的小气候条件和站点维护的严格性影响。他们的表现反复无常。

ASCE和欧洲研究均表明,Penman-Monteith方法在干旱和潮湿气候中的表现相对准确且一致。

对各种计算方法的性能分析表明,有必要制定一种计算ETo的标准方法。建议将FAO Penman-Monteith法作为唯一标准方法。这是一种极有可能在广泛的位置和气候条件下正确预测ETo的方法,并可在数据不足的情况下应用。不再鼓励使用旧的FAO或其他参考ET方法。


对各种计算方法性能的分析表明,需要制定一个标准的计算 ETo 的方法。 推荐使用粮农组织 Penman-Monteith 方法作为唯一标准方法。 它是一种在广泛的位置和气候下极有可能正确预测 ETo 的方法,并且可以在数据缺失的情况下应用。 不再鼓励使用较旧的粮农组织或其他参考 的 ET 计算方法。


FORMULATION OF THE PENMAN-MONTEITH EQUATION,PENMAN-MONTEITH 方程的公式

Penman-Monteith 公式

1948年,彭曼将能量平衡与传质方法结合起来,根据日照、温度、湿度和风速的标准气候记录,导出了一个计算开放水面蒸发量的方程式。这个所谓的组合后,许多研究人员进一步发展了该方法,并通过引入阻力因子将其推广到了作物的面应用。

阻力术语区分了空气动力阻力和表面阻力系数(图7)。表面阻力参数通常组合为一个参数,即“整体”表面阻力参数,该参数与空气动力阻力串联运行。表面阻力rs描述了蒸汽流经气孔、总叶面积和土壤表面的阻力。空气动力阻力ra描述了植被向上的阻力,包括空气在植被表面流动产生的摩擦力。虽然植被层中的交换过程太复杂,无法用这两个阻力因子完全描述,但在测量和计算的蒸散率之间可以获得良好的相关性,尤其是对于均匀的草地参考平面来说更加如此。

FIGURE 7

Simplified representation of the (bulk) surface and aerodynamic resistances for water vapour flow

图7 水蒸气流在(体积)表面和空气动力中阻力的简化表示法


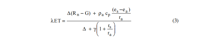
组合公式的 Penman-Monteith 形式为:

式中 Rn 为净辐射,G 为土壤热通量,(es - ea) 表示空气的蒸汽压亏缺,ρa为恒压下的平均空气密度,cp 为空气的比热,表示饱和蒸汽压温度关系的斜率,γ 是湿度常数,rsra 是(体积)表面和空气动力阻力。方程的参数在第 3 章中定义。


上面公式化的 Penman-Monteith 方法包括控制能量交换的所有参数和来自均匀植被的相应潜热通量(蒸散)。大多数参数是测量的,或者可以很容易地从天气数据中计算出来。该公式可用于直接计算任何作物的蒸散,因为表面和空气动力阻力是作物特定的。


Aerodynamic resistance (ra) 空气动力阻力 (ra)


热量和水蒸气从蒸发表面转移到冠层上方的空气中是由空气动力阻力决定的:

其中 ra 空气动力阻力 [s m-1],

zm 测风高度 [m],

zh 湿度测量高度 [m],

d 零平面位移高度 [m],

zom 控制动量传递的粗糙度长度 [m],

zoh 控制热量和蒸汽传递的粗糙度长度 [m],

k von Karman 常数,0.41 [-],

uz 高度 z [m s-1] 处的风速。


该方程仅适用于中性稳定条件,即温度、大气压力和风速分布遵循近似绝热条件(无热交换)。在短时间内(每小时或更短时间)应用该方程式可能需要包括稳定性修正。然而,在预测含水良好的参考表面中的ETo时,热交换很小,因此通常不需要进行稳定性校正。

许多研究探索了植物冠层中风的性质。当表面被植被覆盖时,必须考虑零位移高度和粗糙度长度。这些因素取决于作物高度和结构。已经开发了几个用于估计dzomzoh的经验公式。Box 4 中给出了草基准面的空气动力阻力推导。


(Bulk) surface resistance (rs) (整体)表面阻力(rs

“整体”表面阻力描述了蒸汽流经蒸腾作物和蒸发土壤表面的阻力。如果植被没有完全覆盖土壤,阻力系数实际上应该包括土壤表面蒸发的影响。如果作物没有以潜在速率蒸腾,那么阻力也取决于植被的水分状况。对于茂密的全覆盖植被表面阻力的更复杂关系,可接受的近似值为:

式中,rs(体积)表面电阻[s m-1],

rl光照良好叶片的气孔阻力[SM-1],

LAIactive (阳光照射)叶面积指数 [m^2(叶面积)m-2(土壤表面)]

叶面积指数 (LAI) 是一个无量纲量,是其下方每单位面积土壤上的叶面积数(仅朝向上的叶片)。它表示为每平方米地面面积的平方米里占有的叶面积。活性 LAI 是对表面热量和蒸汽传递有积极贡献的叶面积指数。它通常是密集树冠的上部阳光照射部分。各种作物的 LAI 值差异很大,但许多成熟作物的值通常为 3~5。对于给定的作物,绿色 LAI 会在整个季节发生变化,通常在开花前或开花时达到最大值(图 8)。 LAI 还取决于植物密度和作物品种。

整体气孔阻力 rl 是单个叶片的平均阻力。这种抗性是作物特异性的,并且因作物品种和作物管理而异。它通常随着作物年龄增长并开始成熟而增加。然而,缺乏关于不同作物的 rl 随时间变化的综合信息。文献中关于气孔导度或阻力的信息通常来自于生理学或生态生理学研究。

气孔阻力 rl 受气候和可用水量的影响。 然而,一种作物对另一种作物的影响各不相同,不同的品种可能受到不同的影响。

图 8 玉米作物生长季节有效(绿色)叶面积指数变化的典型表现



当作物受到水分胁迫并且土壤水分限制作物蒸散时,抗性会增加。 一些研究表明,气孔阻力在一定程度上受辐射强度、温度和蒸汽压不足的影响。 草参考表面的表面电阻推导在Box 5 中给出。

REFERENCE SURFACE 参考作物种植的表面

为了避免出现每种作物和生长阶段都定义独特的蒸发参数,引入了参考作物种植表面的概念。各种作物的蒸散率通过作物系数与参考面的蒸散率(ETo)相关。

过去,已提出开放水面作为参考表面。然而,空气动力学、植被控制和辐射特性的差异对将 ET 与自由水蒸发的测量联系起来提出了很大的挑战。将 ETo 与特定作物联系起来的优点是结合了来自作物表面的 ET 所涉及的生物和物理过程。

草与紫花苜蓿一起,是一种经过充分研究的作物,就其空气动力学和表面特性而言,是全球公认的参考表面。因为对蒸汽扩散的阻力很大程度上取决于作物高度、地被、LAI 和土壤水分条件,所以参考作物的特征应该得到很好的定义和固定。

作物高度的变化导致粗糙度和 LAI 的变化。因此,相关的顶篷和空气动力阻力将随时间显着变化。此外,水分胁迫和地被覆盖程度对阻力和反照率都有影响。

为了避免需要苛刻和昂贵研究的局部校准问题,选择了假设的草参考作物。活草参考的困难是由于草的种类和形态会显着影响蒸发速率,尤其是在用水高峰期。暖季和冷季草类型之间可能存在很大差异。冷季草的气孔控制程度较低,因此蒸散率较高。在一些干旱的热带气候中,可能很难种植冷季草。

粮农组织关于修订粮农组织作物需水方法的专家磋商会接受了以下对参考面的明确定义:

“假设的参考作物,假定作物高度为 0.12 m,固定表面阻力为 70 s m-1,反照率为 0.23。”

参考表面非常类似于高度均匀的绿草的宽阔表面,生长活跃,完全遮蔽地面并有足够的水。草表面应该是广泛和均匀的要求源于所有通量都是一维向上的假设。

选择粮农组织 Penman-Monteith 方法作为可以明确确定该参考面 (ETo) 蒸散量的方法,并作为在所有区域和气候中提供一致 ETo 值的方法。


FAO PENMAN-MONTEITH EQUATION,粮农组织 PENMAN-MONTEITH 方程

Equation 公式

1990 年 5 月,粮农组织与国际灌溉和排水委员会以及世界气象组织合作,组织了一次专家和研究人员磋商会,以审查粮农组织关于作物需水量的方法,并就程序的修订和更新提出建议。


图 9 假定参考作物的特征


专家小组建议采用 Penman-Monteith 组合方法作为参考蒸散量的新标准,并就各种参数的计算程序提出建议。 通过将参考作物定义为假设高度为 0.12 m、表面阻力为 70 s m-1 和反照率为 0.23 的假设作物,非常类似于高度均匀的绿草延伸表面的蒸发,积极生长和 充分浇水后,开发了粮农组织 Penman-Monteith 方法。 该方法克服了以前的粮农组织 Penman 方法的缺点,并提供了更符合全球实际作物用水数据的值。

由原始的 Penman-Monteith 公式(公式 3)和空气动力学方程(公式 4)和表面阻力方程(公式 5)可以推导出估算 ETo 的 FAO Penman-Monteith 方法(Box 6)。

参考蒸散量 ETo 提供了一个标准:

 可以比较一年中不同时期或其他地区的蒸散量;

 其他作物的蒸散量可能与此有关。


该方程使用太阳辐射(阳光)、气温、湿度和风速的标准气候记录。为确保计算的完整性,天气测量应在广阔的绿草表面上方 2 m(或转换为该高度)处进行,遮蔽地面且不缺水。


由于公式的简化和数据测量的误差,不能期望基于天气的蒸散量方程能够在每种气候情况下完美地预测蒸散量。在优良的环境和生物管理条件下,精密仪器可能会显示出粮农组织 Penman-Monteith 方程有时会偏离草 ETo 的真实测量值。然而,专家磋商会同意在推导和表达作物系数时使用粮农组织 Penman-Monteith 方程的假设参考定义作为 草 ETo 的定义。


重要的是,在将粮农组织 Penman-Monteith 方程与 ETo 测量值进行比较时,完整的 Penman-Monteith 方程(公式 3)和 ra 和 rs 的相关方程(公式 4 和 5)可用于解释因 ET 引起的变化测量草的高度变化。测量高度的变化会显着改变 LAI、d 和 zom 以及相应的 ETo 测量值和预测值。在评估结果时,应注意浇水频率等当地环境和管理因素也会影响 ETo 观测。


粮农组织 Penman-Monteith 方程是控制蒸散过程的物理和生理因素的一种接近、简单的表示。通过使用粮农组织 Penman-Monteith 对 ETo 的定义,可以通过将测量的作物蒸散量 (ETc) 与计算的 ETo 相关联来计算研究地点的作物系数,即 Kc = ETc/ETo。在作物系数方法中,作物冠层和空气动力学阻力相对于假设的参考作物的差异在作物系数中进行了说明。 Kc 因子作为作物与参考定义之间的物理和生理差异的汇总。


Data 数据

除了场地位置,粮农组织 Penman-Monteith 方程还需要气温、湿度、辐射和风速数据进行每日、每周、十天或每月计算。第 3 章给出了计算参考蒸散量所需的所有数据的计算。验证报告天气数据的单位很重要。将常用单位转换为标准单位的因素见附录 I。


Location 地点

应指定位置的海拔高度 (m) 和纬度(北或南度数)。需要这些数据来调整当地大气压力平均值(站点海拔高于平均海平面的函数)的一些天气参数,并计算地外辐射 (Ra) 以及在某些情况下的日光小时 (N)。在 Ra 和 N 的计算过程中,纬度以弧度表示(即十进制度乘以p/180)。


北半球使用正值,南半球使用负值。


Temperature 温度

需要以摄氏度 (°C) 为单位的(平均)每日最高和最低气温。在只有(平均)日平均温度可用的情况下,仍然可以执行计算,但由于饱和蒸气压 - 温度关系的非线性(图 11),可能会低估 ETo。使用平均气温而不是最高和最低气温会产生较低的饱和蒸气压 es,因此会产生较低的蒸气压差 (es - ea),以及较低的参考蒸发量估计值。


Humidity 湿度

需要以千帕 (kPa) 为单位的(平均)每日实际蒸汽压 ea。根据第 3 章中概述的程序,实际蒸气压(如果不可用)可以从最大和最小相对湿度 (%)、干湿球温度 (°C) 或露点温度 (°C) 得出。


Radiation 辐射

需要以每天每平方米兆焦耳(MJ m-2 day-1)表示的(平均)每日净辐射。这些数据通常不可用,但可以从用日射强度计测量的(平均)短波辐射或从用(Campbell-Stokes)日照记录仪测量的(平均)每日实际明亮日照时间(每天几小时)得出。第 3 章概述了计算程序。


Wind speed 风速

需要在地面以上 2 m 处测量的(平均)日风速,以米/秒 (m s-1) 为单位。验证测量风速的高度很重要,因为在土壤表面以上不同高度测量的风速不同。第 3 章介绍了将风速调整到标准高度 2 m 的计算过程。


Missing climatic data 缺少气候数据

可能会出现某些天气变量的数据丢失的情况。通常应避免使用仅需要有限气象参数的替代 ETo 计算程序。建议在解决缺失数据的具体问题后,使用标准的 FAO Penman-Monteith 方法计算 ETo。第 3 章概述了估计缺失气候数据的程序。通过粮农组织 Penman-Monteith 方程获得的 ETo 值之间的差异,一方面是有限的数据集,另一方面是完整的数据集,预计将小于或与使用替代 ETo 方程所产生的差异具有相似的大小。


即使数据集仅包含最高和最低气温,仍然可以使用粮农组织 Penman-Monteith 方程获得 10 天或每月 ETo 的合理估计值。如第 3 章所述,辐射数据可以从空气温差导出,或者与风速和湿度数据一起,可以从附近的气象站。湿度数据也可以根据每日最低气温进行估算。在评估使用来自另一个站的数据的有效性之后,可以计算 ETo 的十天或每月估计值。


估计缺失数据的程序应在区域层面进行验证。这可以通过将计算得出的 ETo 与完整数据集和有限数据集进行比较,对具有完整数据集的气象站进行。比例应该接近1.0 。当比率显着偏离 1 时,该比率可用作使用有限数据集进行估计的校正因子。如果估计的标准误差超过平均 ETo 的 20%,则应进行敏感性分析以确定用于导入缺失数据的方法的原因(和限制)。应为每个月和每个变量、每月和每日估计值都做一次验证。



北京市朝阳区常通路3号1号楼2单元1105
010-85376558
工作时间:09:00—18:00
liuyang@greensleeve.cn